Ostatnia aktualizacja :
18/03/2026
elektrolit   Calcium gluconate  
Maści
Injekcje
Stabilność preparatów farmaceutycznych Trwałość w mieszaninie Czynnik wpływający na trwałość Zgodność Bibliografia pdf
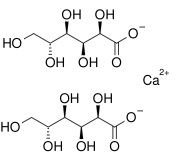
   Struktura chemiczna  

Maści
Trwałość w mieszaninie   Maści   Trwałość w mieszaninie : Calcium gluconate     
Brak danych

  Mentions Légales