Последно актуализиране :
18/03/2026
Електролитен   Calcium gluconate  
Унгвент/Унгвенти
Инжекция/Инжекционен
Стабилност на лекарствени препарати Стабилност на смеси Фактори, повлияващи стабилността Съвместимост Библиография Pdf
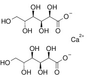
   Химична структура  

Унгвент/Унгвенти
Стабилност на смеси   Унгвент/Унгвенти   Стабилност на смеси : Calcium gluconate     
Няма данни

  Mentions Légales