Pēdējā atjaunošana :
18/03/2026
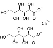
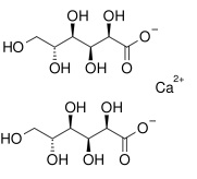
elektrolīts   Calcium gluconate  
Ziedes
Injekcija
Stabilitāte farmaceitisko preparātu Maisījuma stabilitāte Stabilitāti ietekmējoši faktori Saderība Literatūras saraksts pdf
   Ķīmiskā uzbūve   

Ziedes
Maisījuma stabilitāte   Ziedes   Maisījuma stabilitāte : Calcium gluconate     
Nav datu

  Mentions Légales