Last update :
27/11/2025
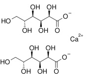
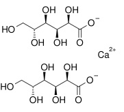
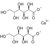
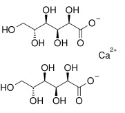
Electrolyte   Calcium gluconate  
Ointments
injection
Stability of pharmaceutical preparations Stability of mixtures Factors which affect stability Compatibility References pdf
   Chemical structure  

Ointments
Stability of mixtures   Ointments   Stability of mixtures : Calcium gluconate     
No data

  Mentions Légales