Poslední aktualizace :
27/11/2025
elektrolyt   Calcium gluconate  
Masti
injekce
Stabilita farmaceutických přípravků Stabilita směsí Faktory ovlivňující stabilitu Kompatibilita Odkazy pdf
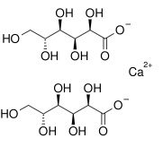
   Chemický vzorec  

Masti
Stabilita směsí   Masti   Stabilita směsí : Calcium gluconate     
žádná data

  Mentions Légales