Senaste uppdateringen :
18/03/2026
Antimykotikum   Amphotericin B  
ögondroppar
Aerosol injektion Munvatten Oral lösning
Stabilitet av läkemedel Stabilitet i blandningar Faktorer som påverkar stabiliteten Kompatibilitet Hänvisningar pdf
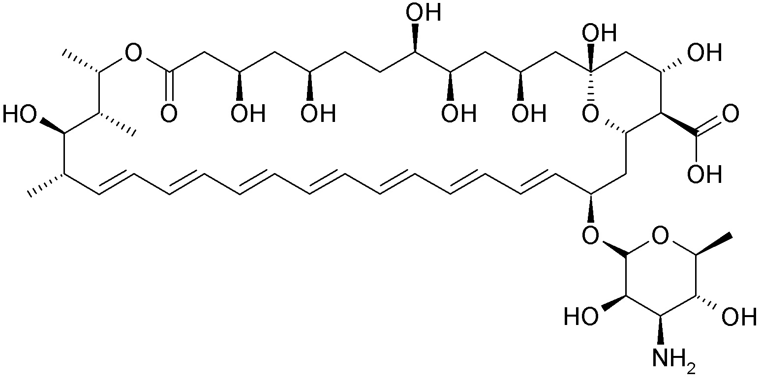
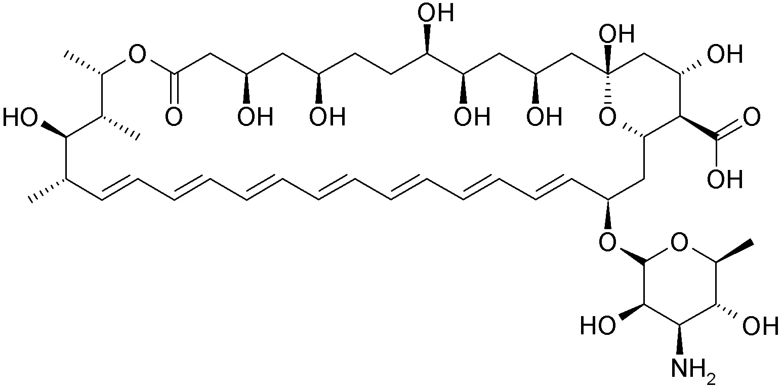
   Molekylstruktur  

ögondroppar

Faktorer som påverkar stabiliteten   ögondroppar   Faktorer som påverkar stabiliteten : Amphotericin B        
Hänvisningar
Temperatur 25°C Orsakar Minskad stabilitet 2867

  Mentions Légales