viimane versioon :
18/03/2026
Seenevastane ravim   Amphotericin B  
Silmatilgad
aerosool Süsteravim suukaudne lahus Suuloputus lahus
Stabiilsust ravimpreparaadid Stabiilsust mõjutavad tegurid stabiilsust mõjutavad faktorid Sobimatus Viited pdf
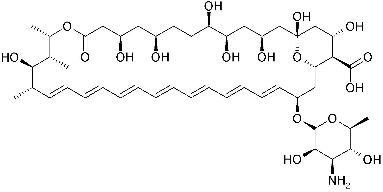
   keemiline struktuur  

Silmatilgad

stabiilsust mõjutavad faktorid   Silmatilgad   stabiilsust mõjutavad faktorid : Amphotericin B        
Viited
temperatuur 25°C indutseerib vähenenud stabiilsus 2867

  Mentions Légales