Letztes “update” :
18/03/2026
Antifungoid   Amphotericin B  
Augentropfen
Aerosol Injektion Lösung zum Einnehmen Mundspüllösung
Stabilität von pharmazeutischen Präparaten Gemengestabilität Stabilitätbeeinflussende Faktoren Kompatibilitäten Literaturverzeichnis pdf
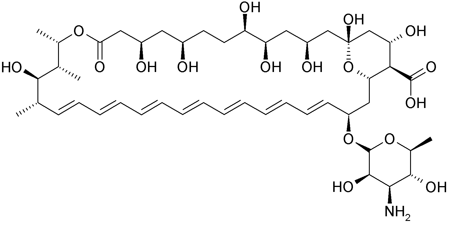
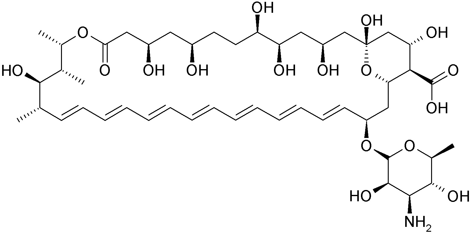
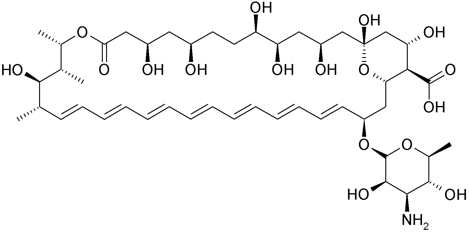
   Chemische Struktur  

Augentropfen

Stabilitätbeeinflussende Faktoren   Augentropfen   Stabilitätbeeinflussende Faktoren : Amphotericin B        
Literaturverzeichnis
Temperatur 25°C Führt zu Stabilitätsverringerung 2867

  Mentions Légales