zadnja posodobitev :
18/03/2026
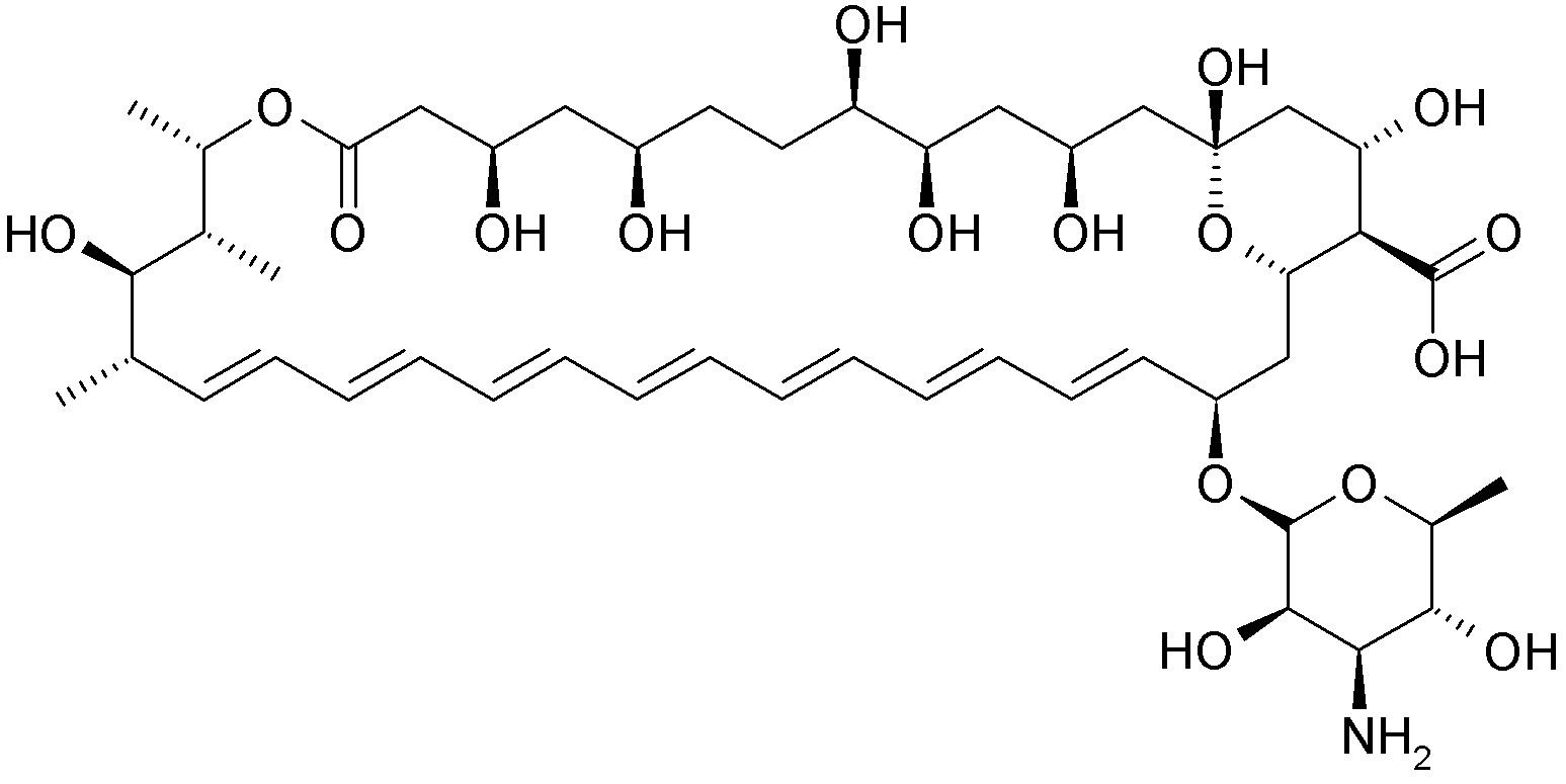
Antimikotik   Amphotericin B  
Kapljice za oči
Aerosol Brizgalka Peroralna raztopina Ustna voda
Stabilnost farmacevtskih preparatov Stabilnost mešanice Faktorji, ki vplivajo na stabilnost Kompatibilnost Viri pdf
   Kemična formula  

Kapljice za oči

Faktorji, ki vplivajo na stabilnost   Kapljice za oči   Faktorji, ki vplivajo na stabilnost : Amphotericin B        
Viri
Temperatura 25°C Inducirati Zmanjšana stabilnost 2867

  Mentions Légales