Dernière mise à jour :
18/03/2026
Antifongique   Amphotericin B  
Collyre
Aérosol Gargarisme injectable Solution buvable
Stabilité des préparations Stabilité en mélange Facteur influençant la stabilité Compatibilités Bibliographie pdf
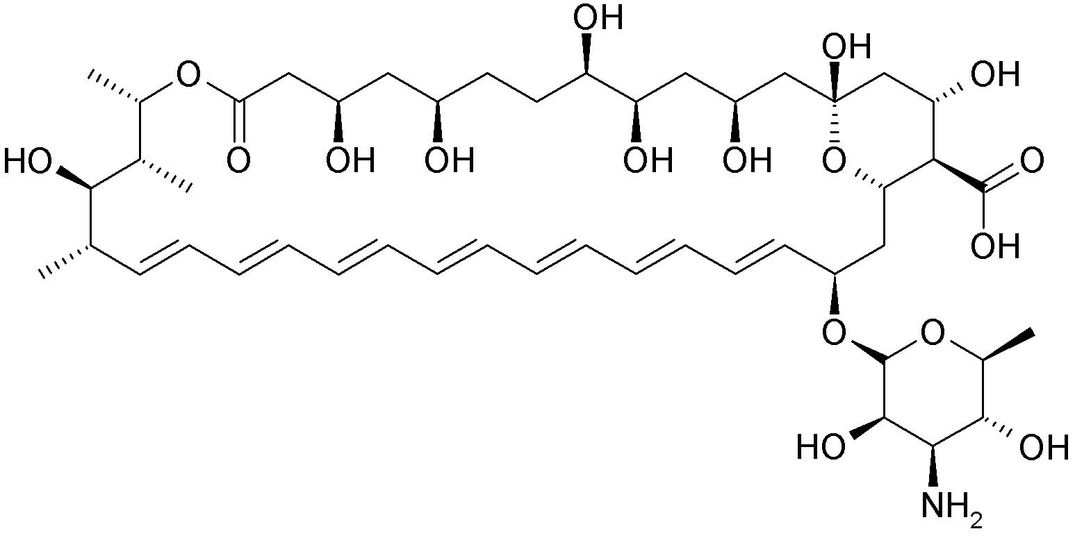
   Structure chimique  

Collyre

Facteur influençant la stabilité   Collyre   Facteur influençant la stabilité : Amphotericin B        
Bibliographie
Température 25°C Provoque Diminution de la stabilité 2867

  Mentions Légales