Ultimele actualizari :
18/03/2026
Antifungic   Amphotericin B  
colir
Aerosol Gargara Injectabil Soluţie orală
Stabilitatea preparatelor farmaceutice Stabilitatea in amestec Factorii care influenteaza stabilitatea Compatibilitate Bibliografie pdf
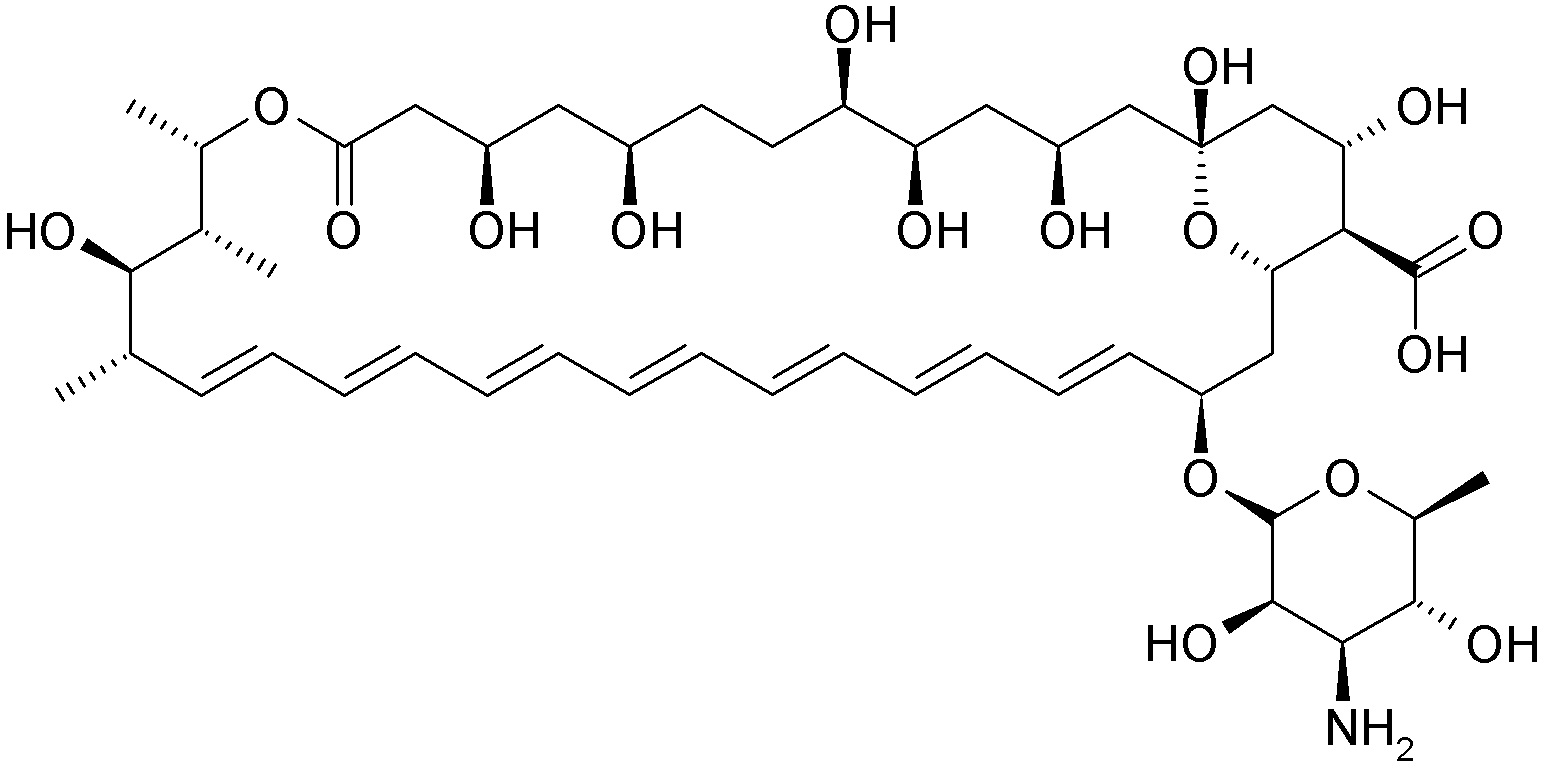
   Formula chimica  

colir

Factorii care influenteaza stabilitatea   colir   Factorii care influenteaza stabilitatea : Amphotericin B        
Bibiografie
Temperatura 25°C Provoaca Diminuarea stabilitatii 2867

  Mentions Légales