Ostatnia aktualizacja :
18/03/2026
Lek przeciwgrzybiczny   Amphotericin B  
Krople oczne
Aerozol Injekcje Roztwór do płukania gardła Roztwór doustny
Stabilność preparatów farmaceutycznych Trwałość w mieszaninie Czynnik wpływający na trwałość Zgodność Bibliografia pdf
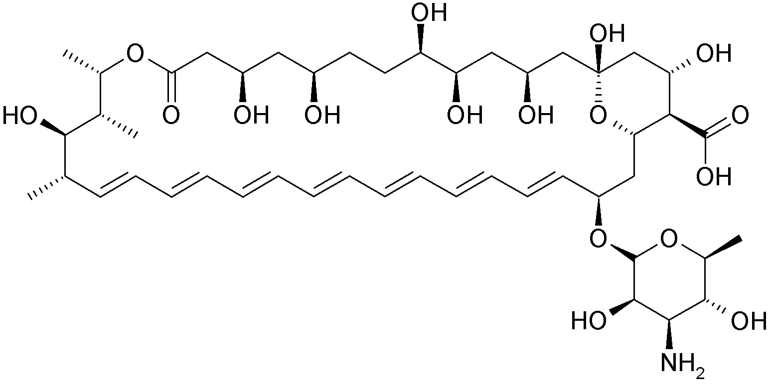
   Struktura chemiczna  

Krople oczne

Czynnik wpływający na trwałość   Krople oczne   Czynnik wpływający na trwałość : Amphotericin B        
Bibliografia
Temperatura 25°C Wywołuje Obniżona trwałość 2867

  Mentions Légales