Posledná aktualizácia :
18/03/2026
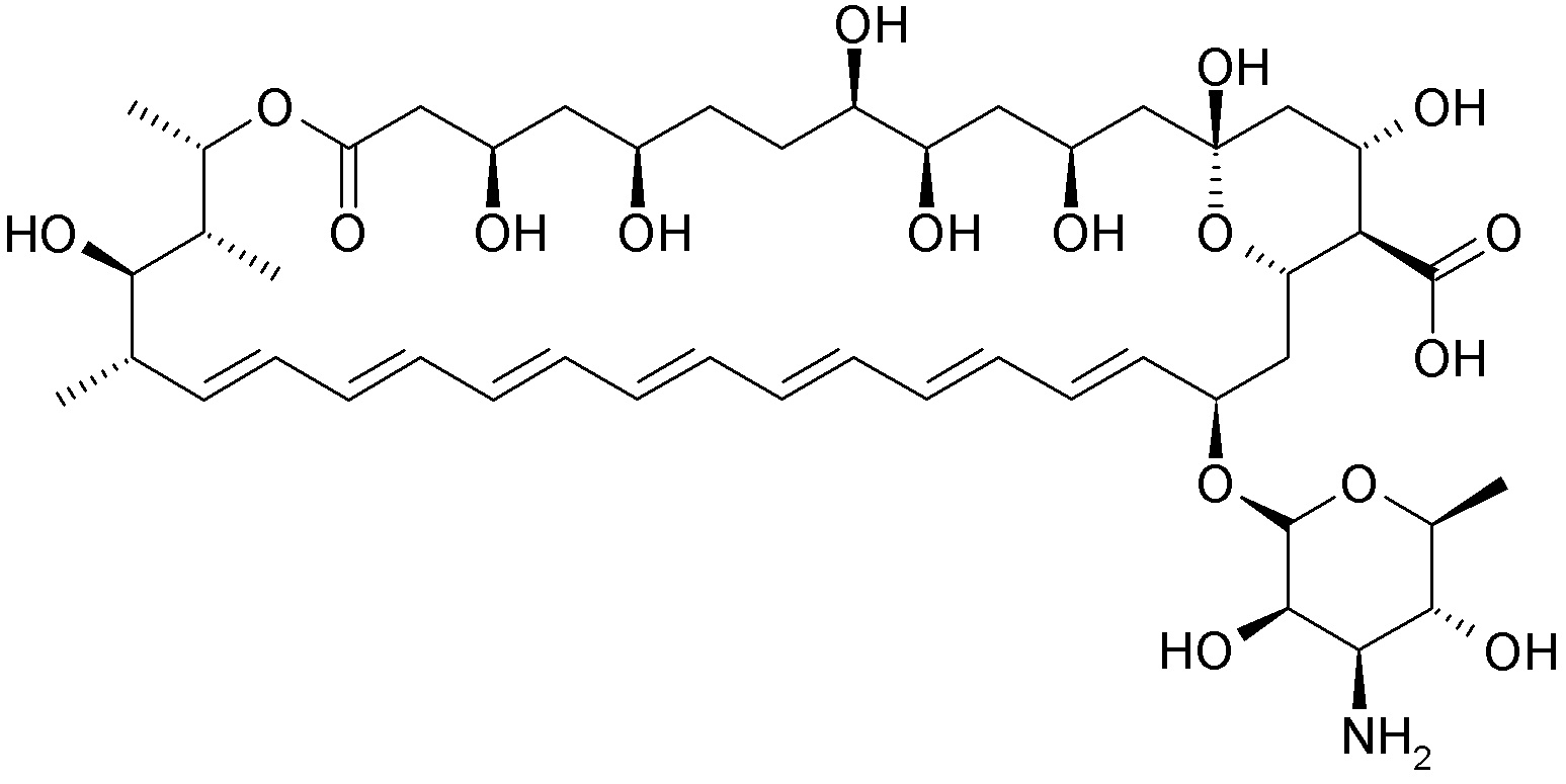
antimykotikum   Amphotericin B  
Očná instilácia
Aerosól Injekcia Kloktadlo Perorálny roztok
Stabilita farmaceutických prípravkov Stabilita v zmesiach Faktory ovplyvňujúce stabilitu Kompatibility Odkazy na literatúru PDF
   Chemický vzorec  

Očná instilácia

Faktory ovplyvňujúce stabilitu   Očná instilácia   Faktory ovplyvňujúce stabilitu : Amphotericin B        
odkazy na lieteratúru
teplota 25°C indukuje znížená stabilita 2867

  Mentions Légales