Последнее обновление :
17/12/2025
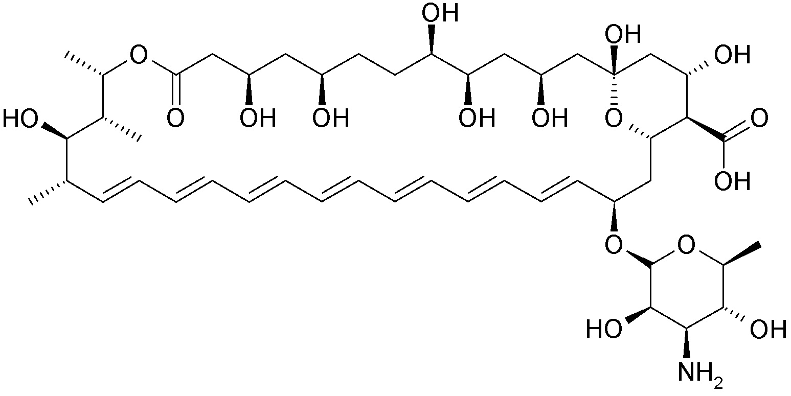
Противогрибковое средство   Amphotericin B  
Глазные капли
Аэрозоль Инъекция Ополаскиватель для полости рта Раствор для перорального приёма
Стабильность фармацевтических препаратов Стабильность смесей Факторы, которые влияют на стабильность Совместимость Библиография pdf
   Химическая структура  

Глазные капли

Факторы, которые влияют на стабильность   Глазные капли   Факторы, которые влияют на стабильность : Amphotericin B        
Ссылки
Температура 25°C Стимулирует Пониженная стабильность 2867

  Mentions Légales