最新更新 :
18/03/2026
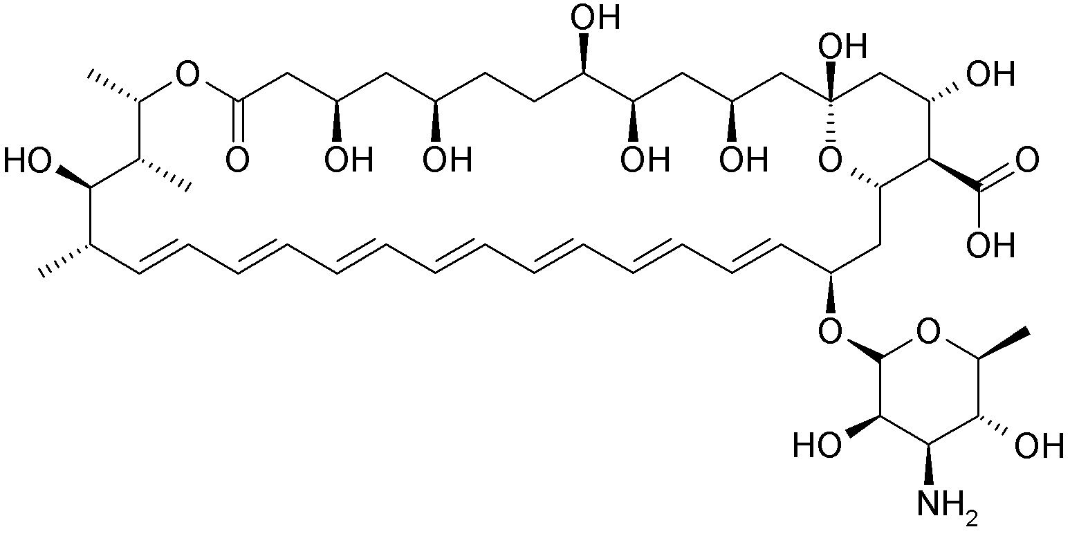
抗真菌薬   Amphotericin B  
点眼薬
エアロゾル 含嗽薬 注射薬 経口液
調剤時の安定性 混合時の安定性 安定性に影響する因子 互換性 引用文献 PDF
   化学構造  

点眼薬

安定性に影響する因子   点眼薬   安定性に影響する因子 : Amphotericin B        
引用文献
温度 25°C 誘導 安定性減少 2867

  Mentions Légales