Laatste update :
18/03/2026
Antimycoticum   Amphotericin B  
Oogwater
Aerosol gorgelen injecteerbaar geneesmiddel Orale Oplossing
Stabiliteit van farmaceutische preparaten Stabiliteit in mengsels Factoren die de stabiliteit beïnvloeden Verenigbaarheden Literatuur pdf
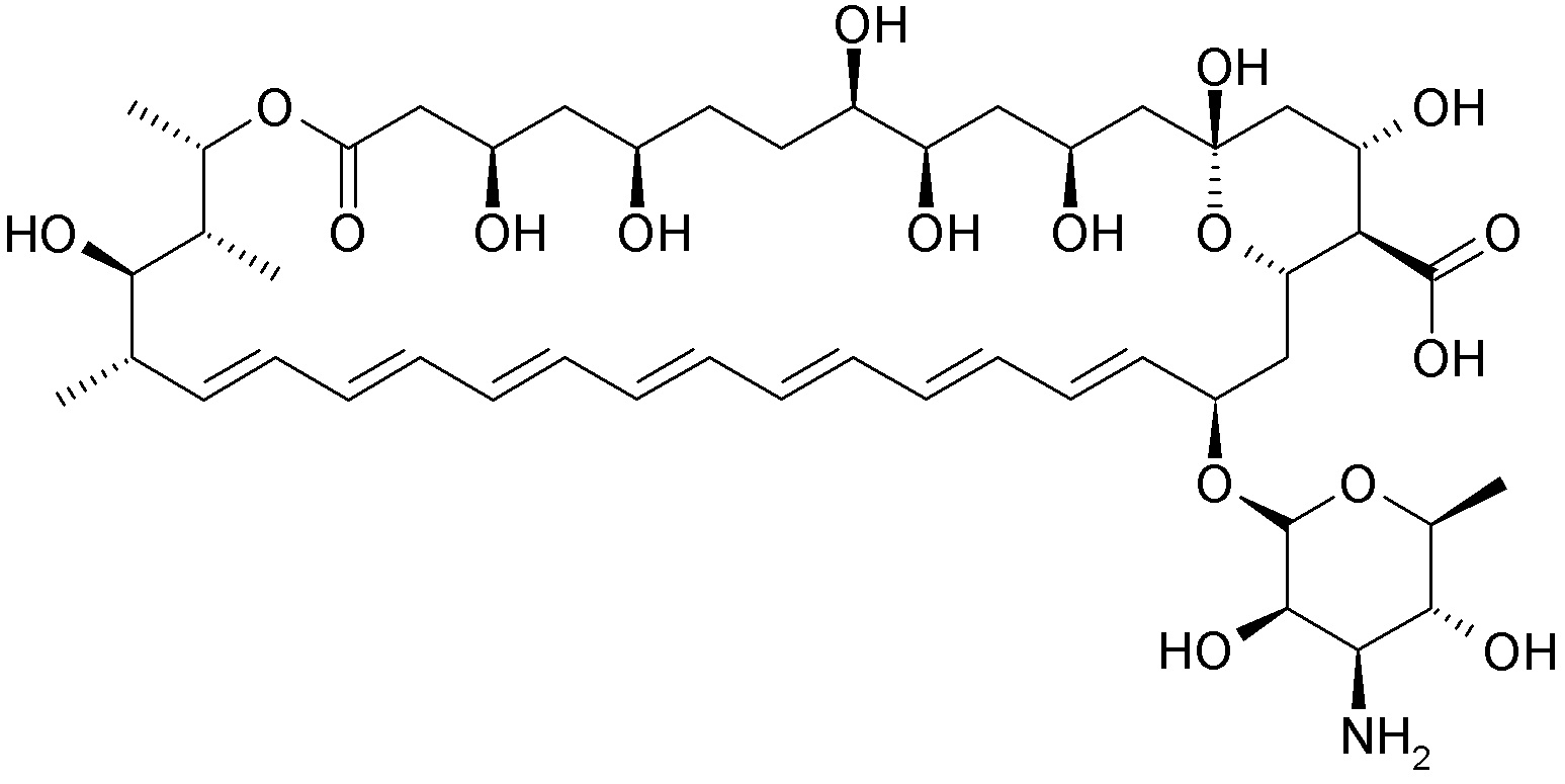
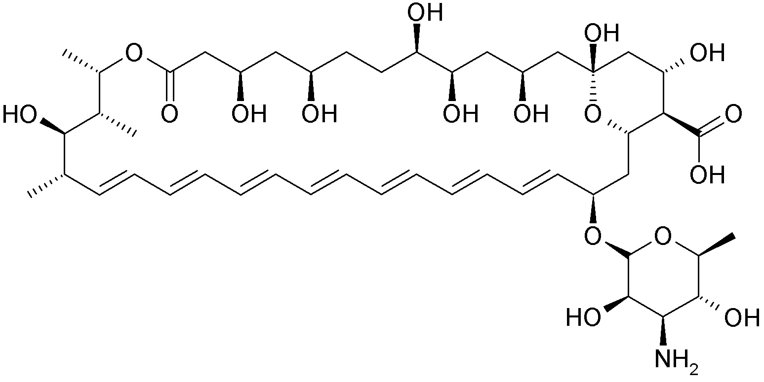
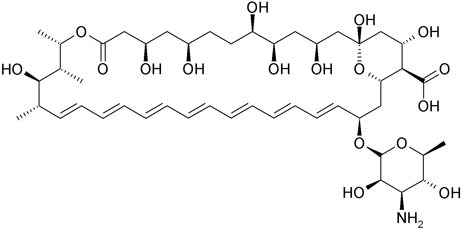
   Molecuulstructuur  

Oogwater

Factoren die de stabiliteit beïnvloeden   Oogwater   Factoren die de stabiliteit beïnvloeden : Amphotericin B        
Literatuur
Temperatuur 25°C Veroorzaakt Stabiliteit neemt af 2867

  Mentions Légales