Son güncelleme :
18/03/2026
Immünosupresan   Ciclosporin  
Oral solüsyon / oral çözelti
Enjeksiyon Göz damlası Merhem
Farmasötik preparatlar Kararlılığı Karışımlardaki stabilitesi Stabiliteyi etkileyen faktörler Uyumluluk Kaynaklar pdf
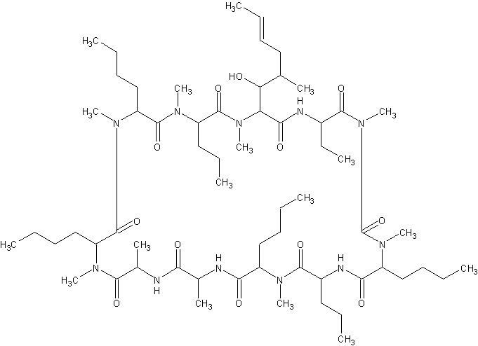
   Kimyasal yapı   

Oral solüsyon / oral çözelti

Stabiliteyi etkileyen faktörler    Oral solüsyon / oral çözelti   Stabiliteyi etkileyen faktörler : Ciclosporin        
veri yok

  Mentions Légales