Utolsó frissítés :
18/03/2026
Immunszuppresszív szer   Ciclosporin  
belsőleges oldat
Injekció kenőcs Szemcsepp
Stabilitása gyógyszerészeti készítmények A keverékek stabilitása Stabilitást befolyásoló tényezők Kompatibilitás Irodalom pdf
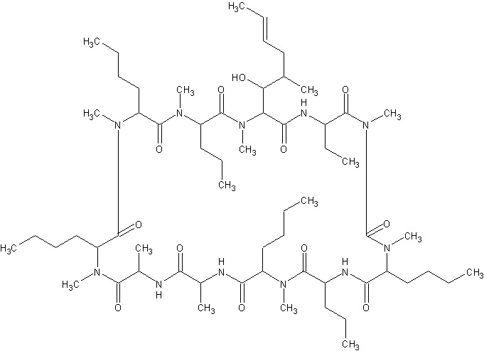
   Kémiai szerkezet   

belsőleges oldat

Stabilitást befolyásoló tényezők   belsőleges oldat   Stabilitást befolyásoló tényezők : Ciclosporin        
Hiányzó adat

  Mentions Légales