Poslední aktualizace :
18/03/2026
Imunosupresantas   Ciclosporin  
Geriamas tirpalas
Akių lašai Įpurškimas Tepalai
Stabilumas farmacinių preparatų Mišinių stabilumas Stabilumą lemiantys veiksniai Suderinamumas Bibliografija pdf
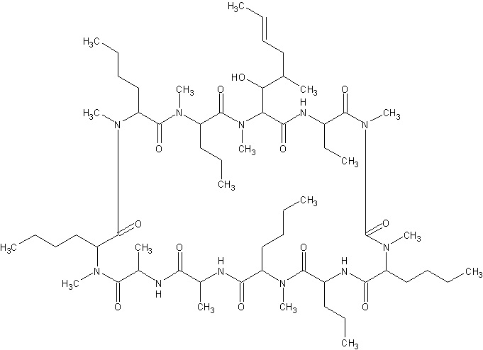
   Cheminė sandara  

Geriamas tirpalas

Stabilumą lemiantys veiksniai   Geriamas tirpalas   Stabilumą lemiantys veiksniai : Ciclosporin        
Nėra duomenų

  Mentions Légales