Letztes “update” :
18/03/2026
Immunsuppressivum   Ciclosporin  
Lösung zum Einnehmen
Augentropfen Injektion Salben
Stabilität von pharmazeutischen Präparaten Gemengestabilität Stabilitätbeeinflussende Faktoren Kompatibilitäten Literaturverzeichnis pdf
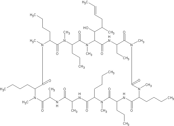
   Chemische Struktur  

Lösung zum Einnehmen

Stabilitätbeeinflussende Faktoren   Lösung zum Einnehmen   Stabilitätbeeinflussende Faktoren : Ciclosporin        
Keine Daten

  Mentions Légales