Posledná aktualizácia :
18/03/2026
imunosupresívum   Ciclosporin  
Perorálny roztok
Dermálny prípravok Injekcia Očná instilácia
Stabilita farmaceutických prípravkov Stabilita v zmesiach Faktory ovplyvňujúce stabilitu Kompatibility Odkazy na literatúru PDF
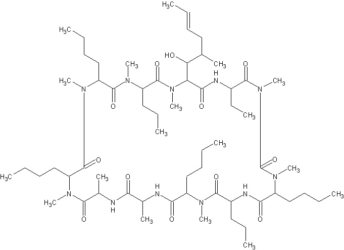
   Chemický vzorec  

Perorálny roztok

Faktory ovplyvňujúce stabilitu   Perorálny roztok   Faktory ovplyvňujúce stabilitu : Ciclosporin        
žiadne údaje

  Mentions Légales