Viimeisin päivitys :
18/03/2026
Immunosupressiiviset lääkkeet   Ciclosporin  
Oraaliliuos
Injektioneste Salvat Silmätipat
Vakaus lääkevalmisteen Stabilius seoksissa Tekijät, jotka vaikuttavat stabiliuteen Yhteensopivuus Viitteet pdf
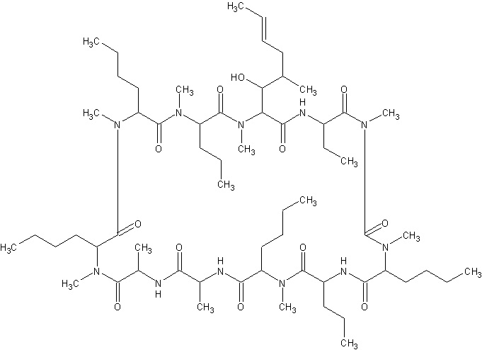
   Kemiallinen rakenne  

Oraaliliuos

Tekijät, jotka vaikuttavat stabiliuteen   Oraaliliuos   Tekijät, jotka vaikuttavat stabiliuteen : Ciclosporin        
ei tietoa

  Mentions Légales