Последнее обновление :
18/03/2026
Иммуннодепрессант   Ciclosporin  
Раствор для перорального приёма
Глазные капли Инъекция Мази
Стабильность фармацевтических препаратов Стабильность смесей Факторы, которые влияют на стабильность Совместимость Библиография pdf
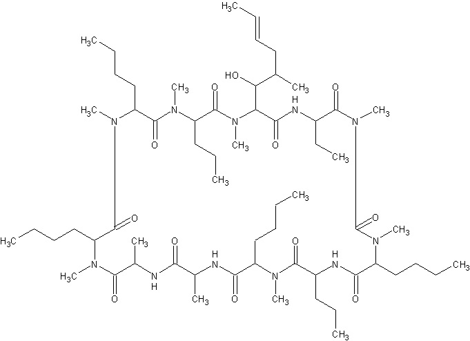
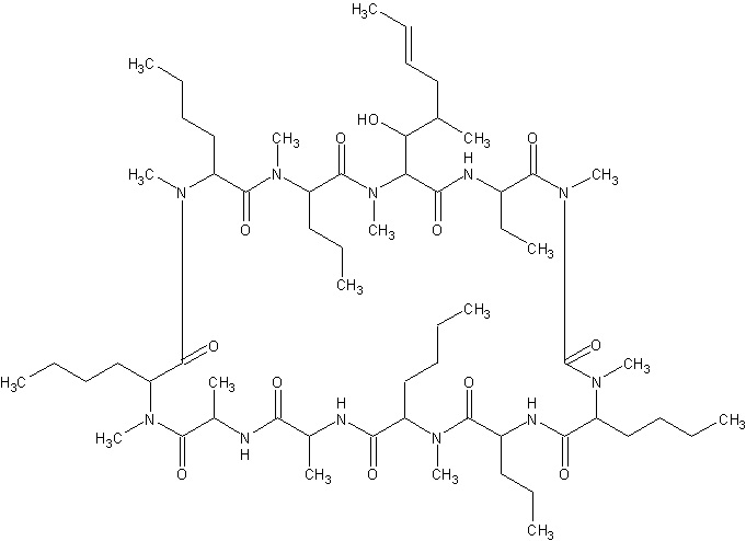
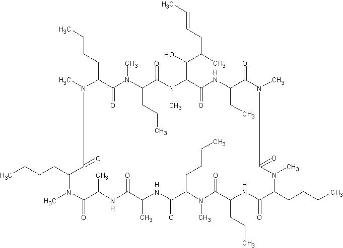
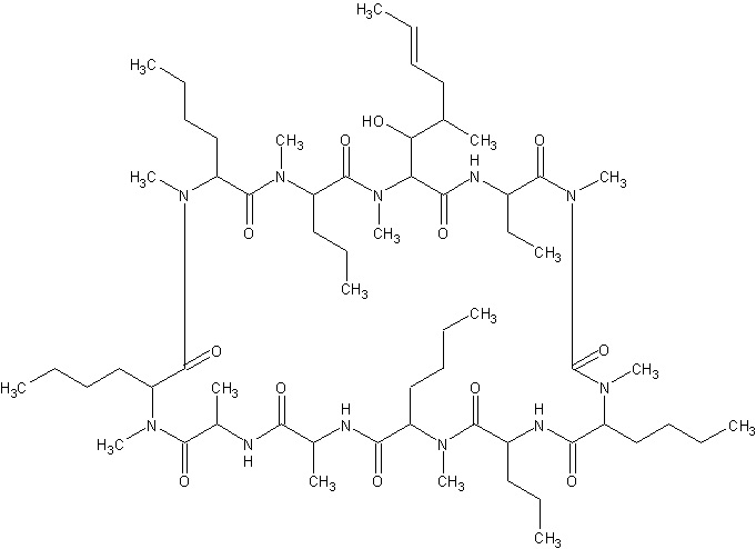
   Химическая структура  

Раствор для перорального приёма

Факторы, которые влияют на стабильность   Раствор для перорального приёма   Факторы, которые влияют на стабильность : Ciclosporin        
данных нет

  Mentions Légales