Последно актуализиране :
18/03/2026
Имунопотискащ   Ciclosporin  
Орален разтвор
Инжекция/Инжекционен Капки за очи Унгвент/Унгвенти
Стабилност на лекарствени препарати Стабилност на смеси Фактори, повлияващи стабилността Съвместимост Библиография Pdf
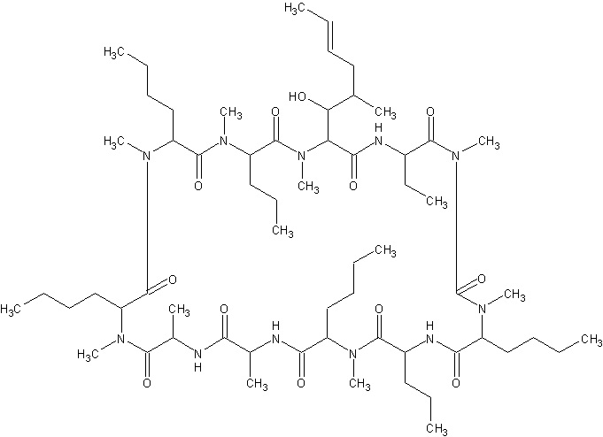
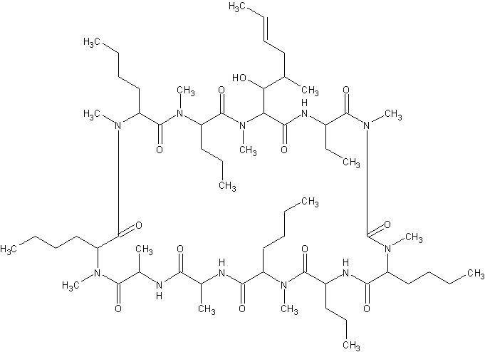
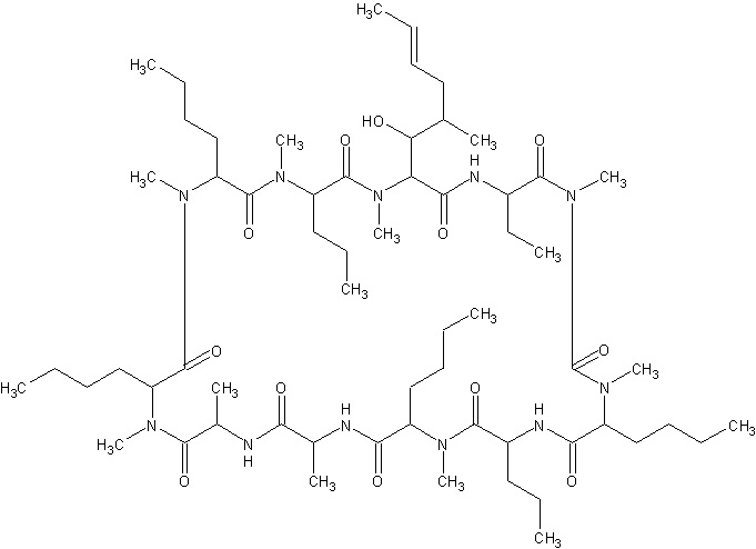
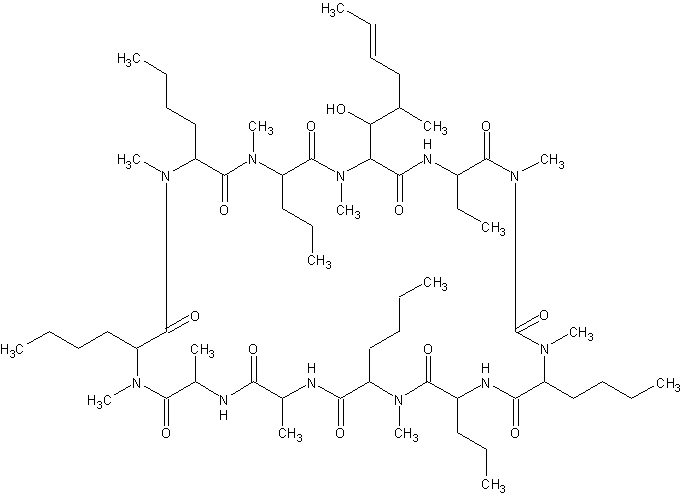
   Химична структура  

Орален разтвор

Фактори, повлияващи стабилността   Орален разтвор   Фактори, повлияващи стабилността : Ciclosporin        
Няма данни

  Mentions Légales