Laatste update :
18/03/2026
Immunosuppressivum   Ciclosporin  
Orale Oplossing
injecteerbaar geneesmiddel Oogwater zalf
Stabiliteit van farmaceutische preparaten Stabiliteit in mengsels Factoren die de stabiliteit beïnvloeden Verenigbaarheden Literatuur pdf
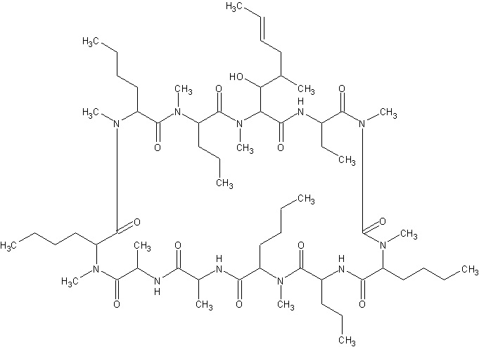
   Molecuulstructuur  

Orale Oplossing

Factoren die de stabiliteit beïnvloeden   Orale Oplossing   Factoren die de stabiliteit beïnvloeden : Ciclosporin        
geen gegevens

  Mentions Légales