Última actualización :
18/03/2026
Inmunosupresor   Ciclosporin  
Solución Oral
Gotas oculares Inyectables Preparaciones tópicas
La estabilidad de las preparaciones farmacéuticas Estabilidad en mezcla Factores que influyen sobre la estabilidad Compatibilidades Bibliografía pdf
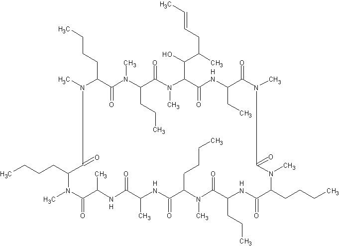
   Estructura química  

Solución Oral

Factores que influyen sobre la estabilidad   Solución Oral   Factores que influyen sobre la estabilidad : Ciclosporin        
Ausencia de datos

  Mentions Légales