Pēdējā atjaunošana :
18/03/2026
Imūnsupresors   Ciclosporin  
Orāls šķīdums
Acu pilieni Injekcija Ziedes
Stabilitāte farmaceitisko preparātu Maisījuma stabilitāte Stabilitāti ietekmējoši faktori Saderība Literatūras saraksts pdf
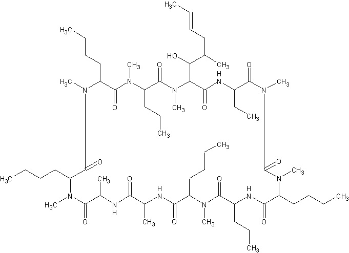
   Ķīmiskā uzbūve   

Orāls šķīdums

Stabilitāti ietekmējoši faktori   Orāls šķīdums   Stabilitāti ietekmējoši faktori : Ciclosporin        
Nav datu

  Mentions Légales