zadnja posodobitev :
18/03/2026
Različen   Baclofen  
Peroralna raztopina
Brizgalka Mazila
Stabilnost farmacevtskih preparatov Stabilnost mešanice Faktorji, ki vplivajo na stabilnost Kompatibilnost Viri pdf
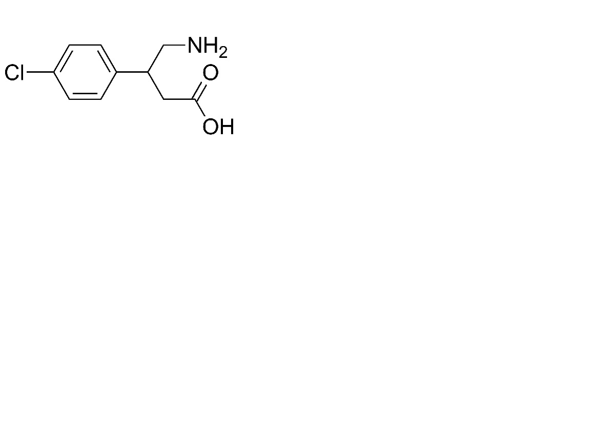
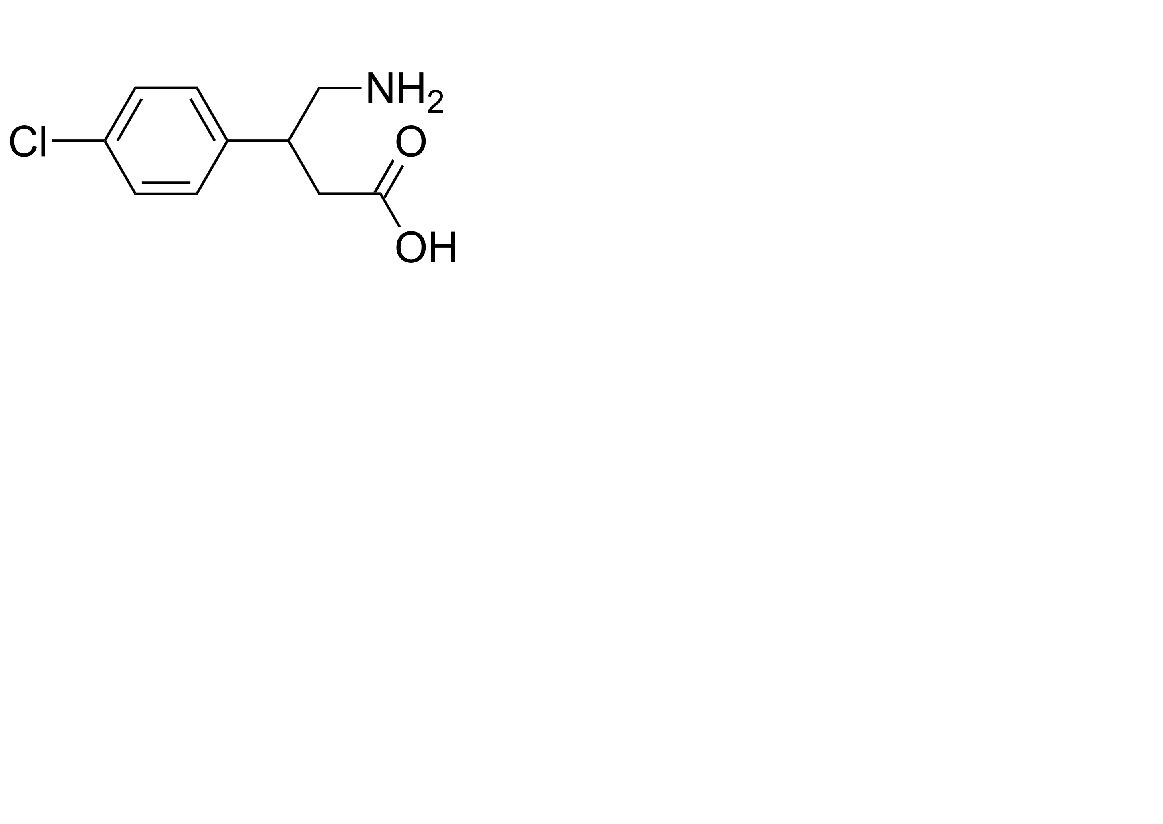
   Kemična formula  

Peroralna raztopina

Faktorji, ki vplivajo na stabilnost   Peroralna raztopina   Faktorji, ki vplivajo na stabilnost : Baclofen        
ni podatka

  Mentions Légales