Letztes “update” :
18/03/2026
Verschiedenes   Baclofen  
Lösung zum Einnehmen
Injektion Salben
Stabilität von pharmazeutischen Präparaten Gemengestabilität Stabilitätbeeinflussende Faktoren Kompatibilitäten Literaturverzeichnis pdf
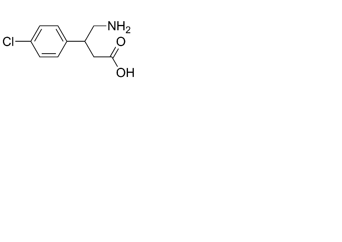
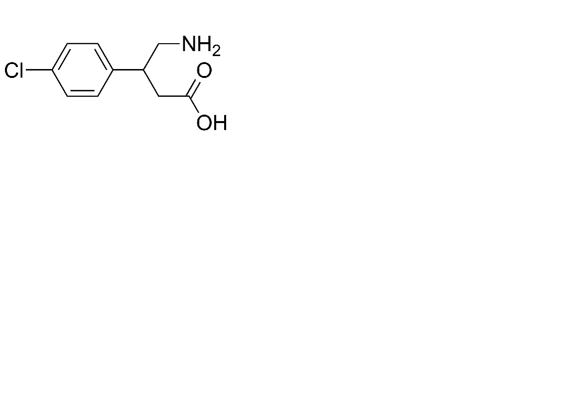
   Chemische Struktur  

Lösung zum Einnehmen

Stabilitätbeeinflussende Faktoren   Lösung zum Einnehmen   Stabilitätbeeinflussende Faktoren : Baclofen        
Keine Daten

  Mentions Légales