Dernière mise à jour :
18/03/2026
Divers   Baclofen  
Solution buvable
Forme dermique injectable
Stabilité des préparations Stabilité en mélange Facteur influençant la stabilité Compatibilités Bibliographie pdf
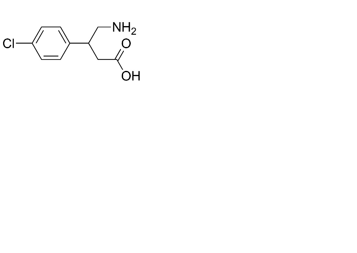
   Structure chimique  

Solution buvable

Facteur influençant la stabilité   Solution buvable   Facteur influençant la stabilité : Baclofen        
Aucune donnée

  Mentions Légales