Utolsó frissítés :
18/03/2026
Különféle   Baclofen  
belsőleges oldat
Injekció kenőcs
Stabilitása gyógyszerészeti készítmények A keverékek stabilitása Stabilitást befolyásoló tényezők Kompatibilitás Irodalom pdf
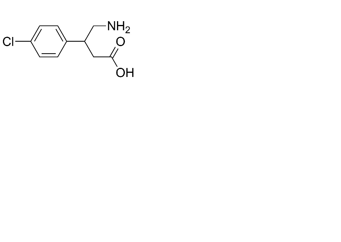
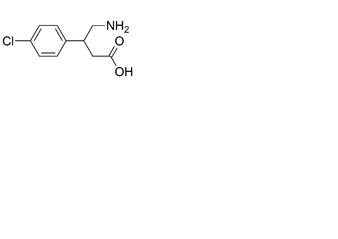
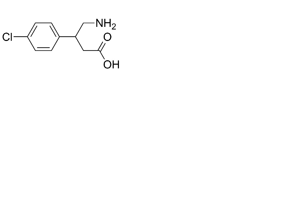
   Kémiai szerkezet   

belsőleges oldat

Stabilitást befolyásoló tényezők   belsőleges oldat   Stabilitást befolyásoló tényezők : Baclofen        
Hiányzó adat

  Mentions Légales