viimane versioon :
18/03/2026
mitmesugune   Baclofen  
suukaudne lahus
salv Süsteravim
Stabiilsust ravimpreparaadid Stabiilsust mõjutavad tegurid stabiilsust mõjutavad faktorid Sobimatus Viited pdf
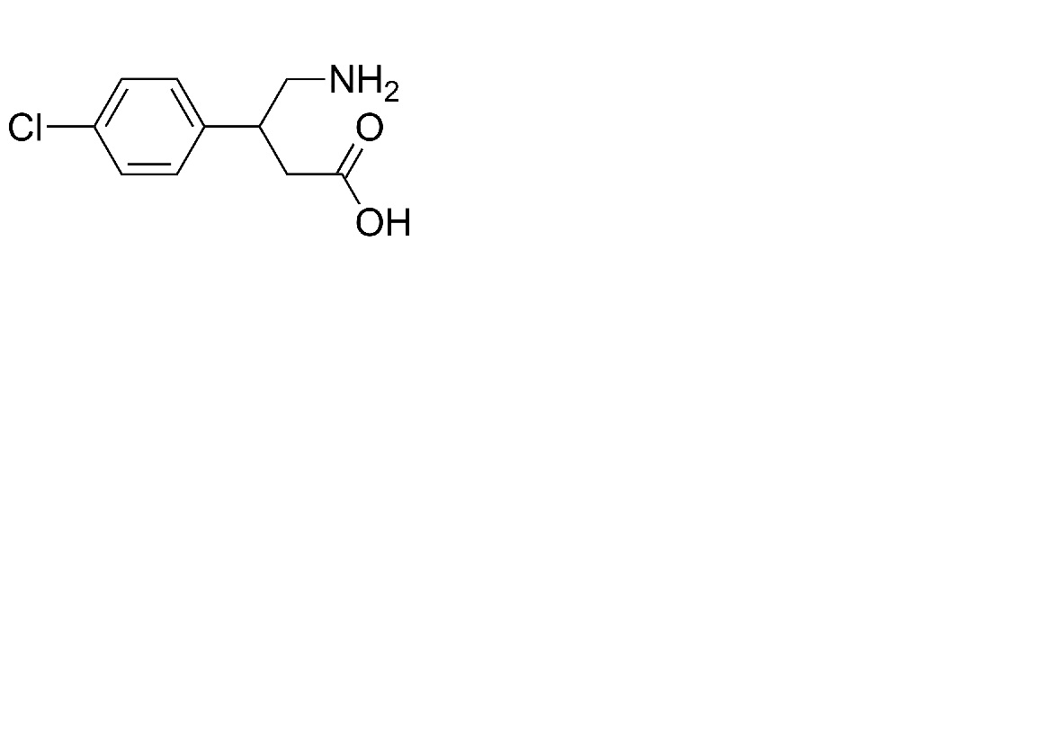
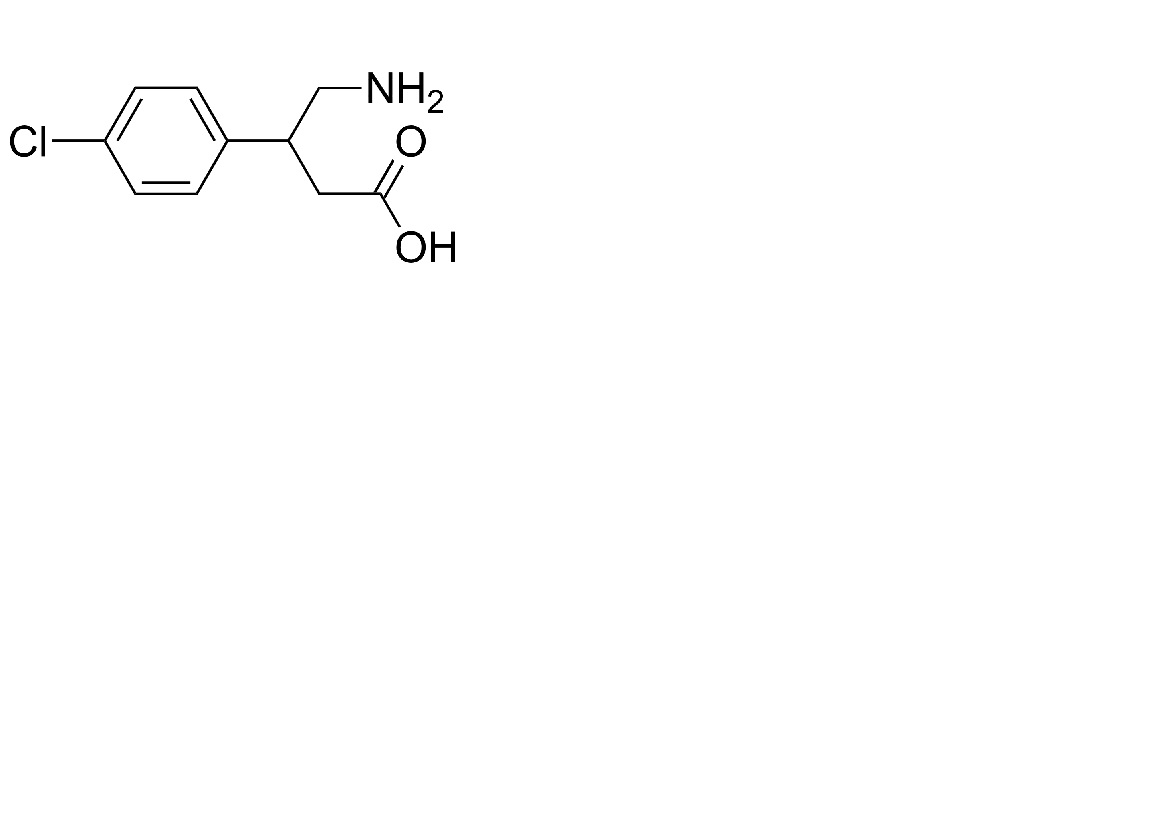
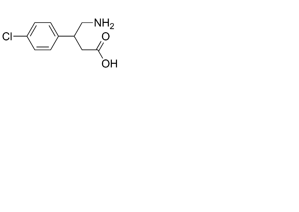
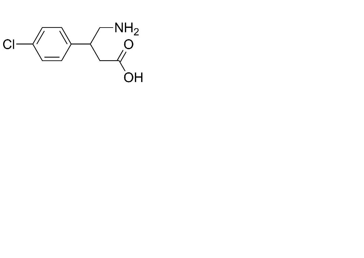
   keemiline struktuur  

suukaudne lahus

stabiilsust mõjutavad faktorid   suukaudne lahus   stabiilsust mõjutavad faktorid : Baclofen        
andmed puuduvad

  Mentions Légales