Последнее обновление :
18/03/2026
Разное   Baclofen  
Раствор для перорального приёма
Инъекция Мази
Стабильность фармацевтических препаратов Стабильность смесей Факторы, которые влияют на стабильность Совместимость Библиография pdf
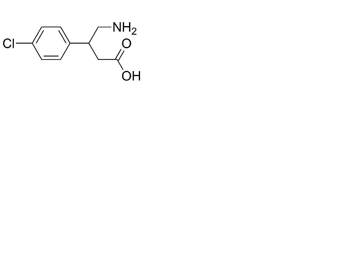
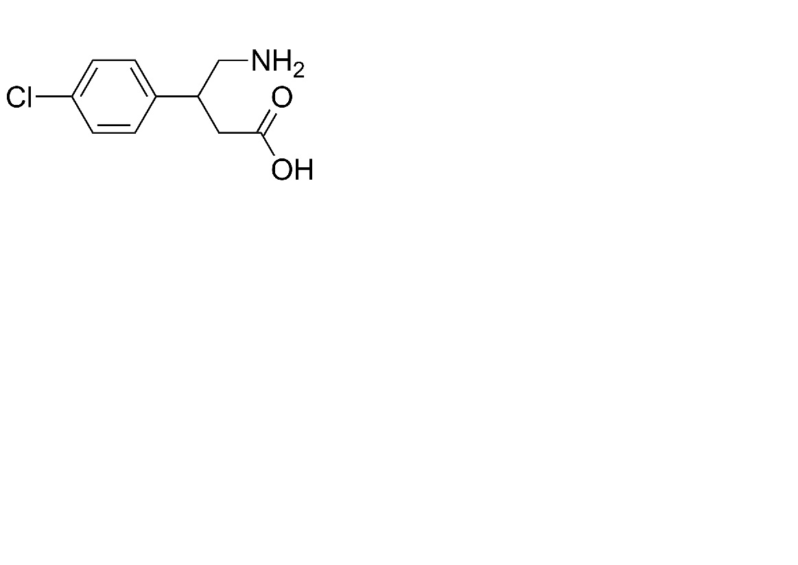
   Химическая структура  

Раствор для перорального приёма

Факторы, которые влияют на стабильность   Раствор для перорального приёма   Факторы, которые влияют на стабильность : Baclofen        
данных нет

  Mentions Légales