آخر تحديث :
18/03/2026
مختلف   Baclofen  
عن طريق الفم
المراهم حقن
استقرار المستحضرات الصيدلانية استقرار مخاليط العوامل التي تؤثر على الاستقرار التوافق مراجع pdf
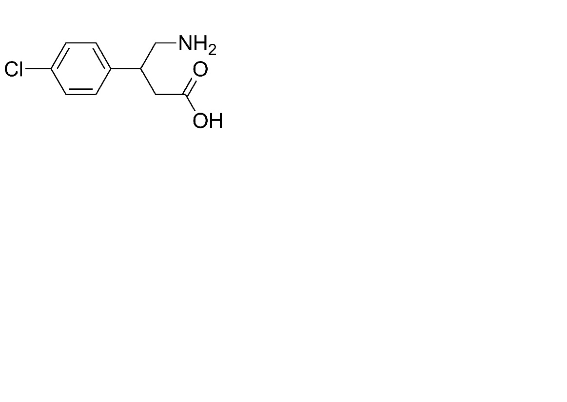
   التركيب الكيميائي  

عن طريق الفم

العوامل التي تؤثر على الاستقرار   عن طريق الفم     العوامل التي تؤثر على الاستقرار : Baclofen        
لا توجد بيانات

  Mentions Légales