Pēdējā atjaunošana :
18/03/2026
Dažādi   Baclofen  
Orāls šķīdums
Injekcija Ziedes
Stabilitāte farmaceitisko preparātu Maisījuma stabilitāte Stabilitāti ietekmējoši faktori Saderība Literatūras saraksts pdf
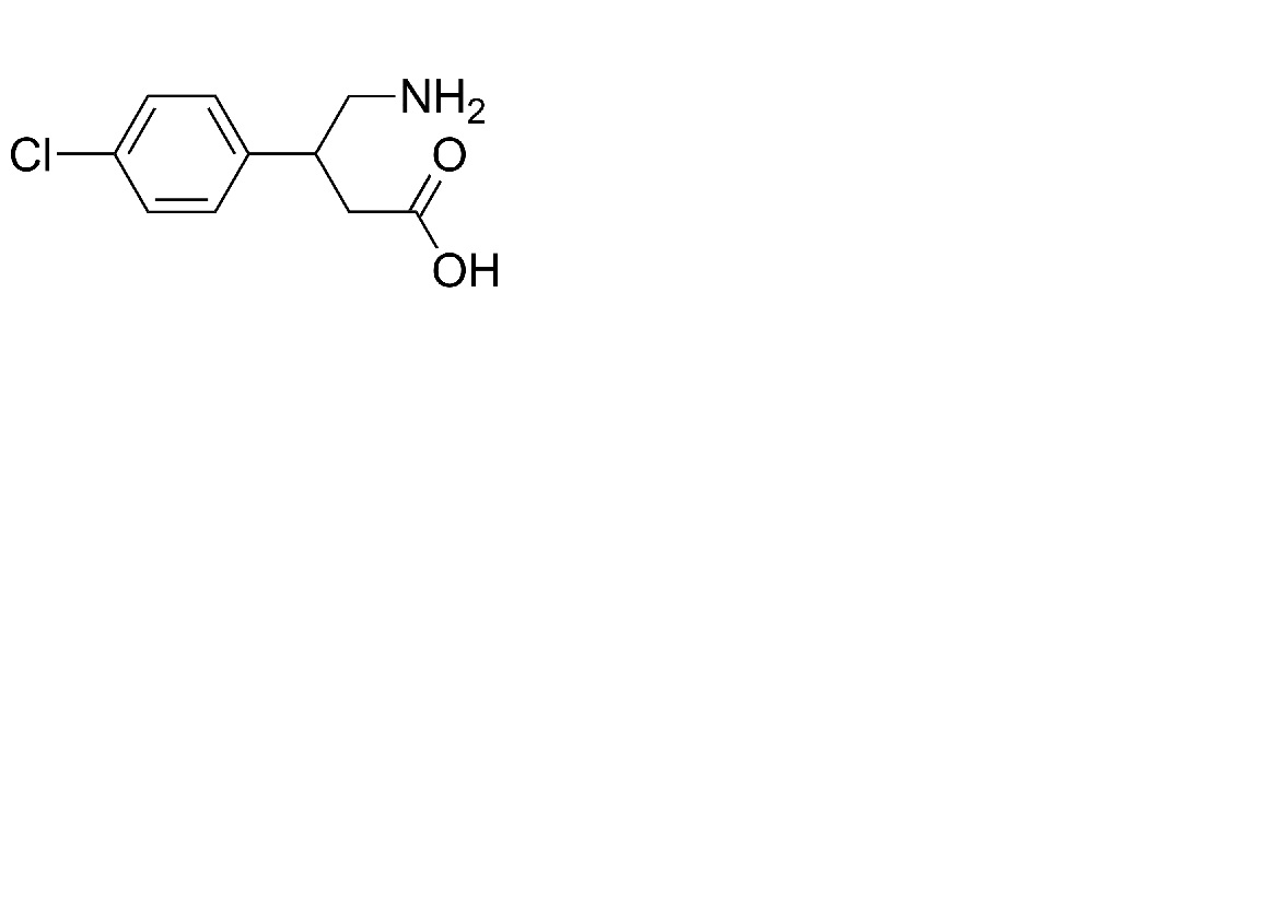
   Ķīmiskā uzbūve   

Orāls šķīdums

Stabilitāti ietekmējoši faktori   Orāls šķīdums   Stabilitāti ietekmējoši faktori : Baclofen        
Nav datu

  Mentions Légales