Poslední aktualizace :
18/03/2026
Různé   Baclofen  
Perorální roztok
injekce Masti
Stabilita farmaceutických přípravků Stabilita směsí Faktory ovlivňující stabilitu Kompatibilita Odkazy pdf
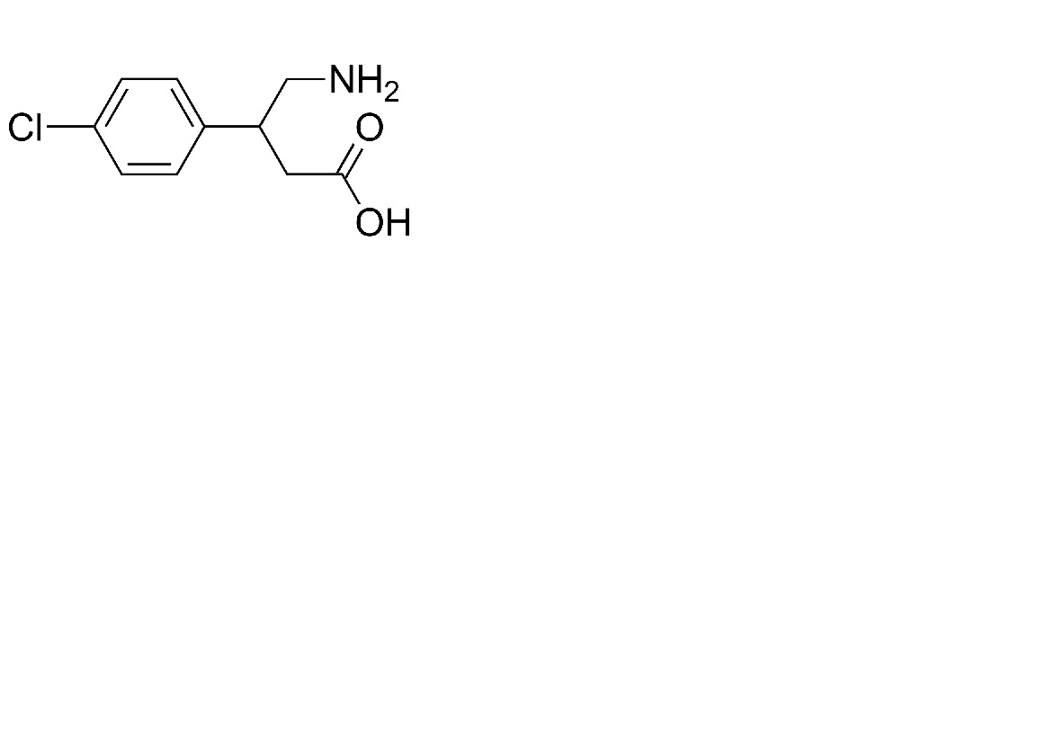
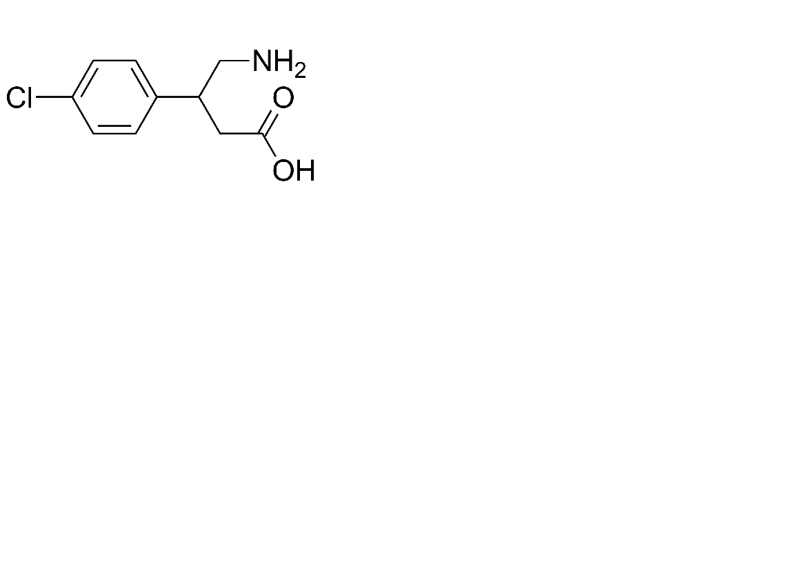
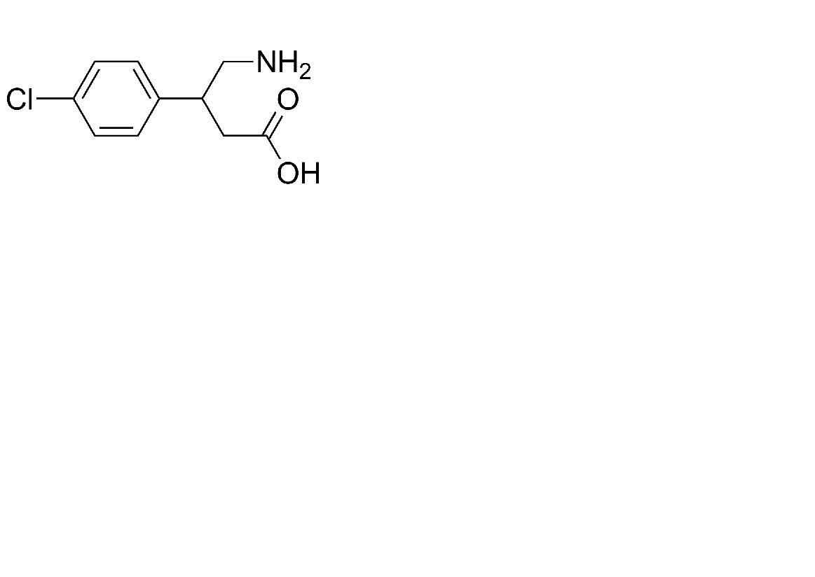
   Chemický vzorec  

Perorální roztok

Faktory ovlivňující stabilitu   Perorální roztok   Faktory ovlivňující stabilitu : Baclofen        
žádná data

  Mentions Légales