Poslední aktualizace :
18/03/2026
Įvairūs   Baclofen  
Geriamas tirpalas
Įpurškimas Tepalai
Stabilumas farmacinių preparatų Mišinių stabilumas Stabilumą lemiantys veiksniai Suderinamumas Bibliografija pdf
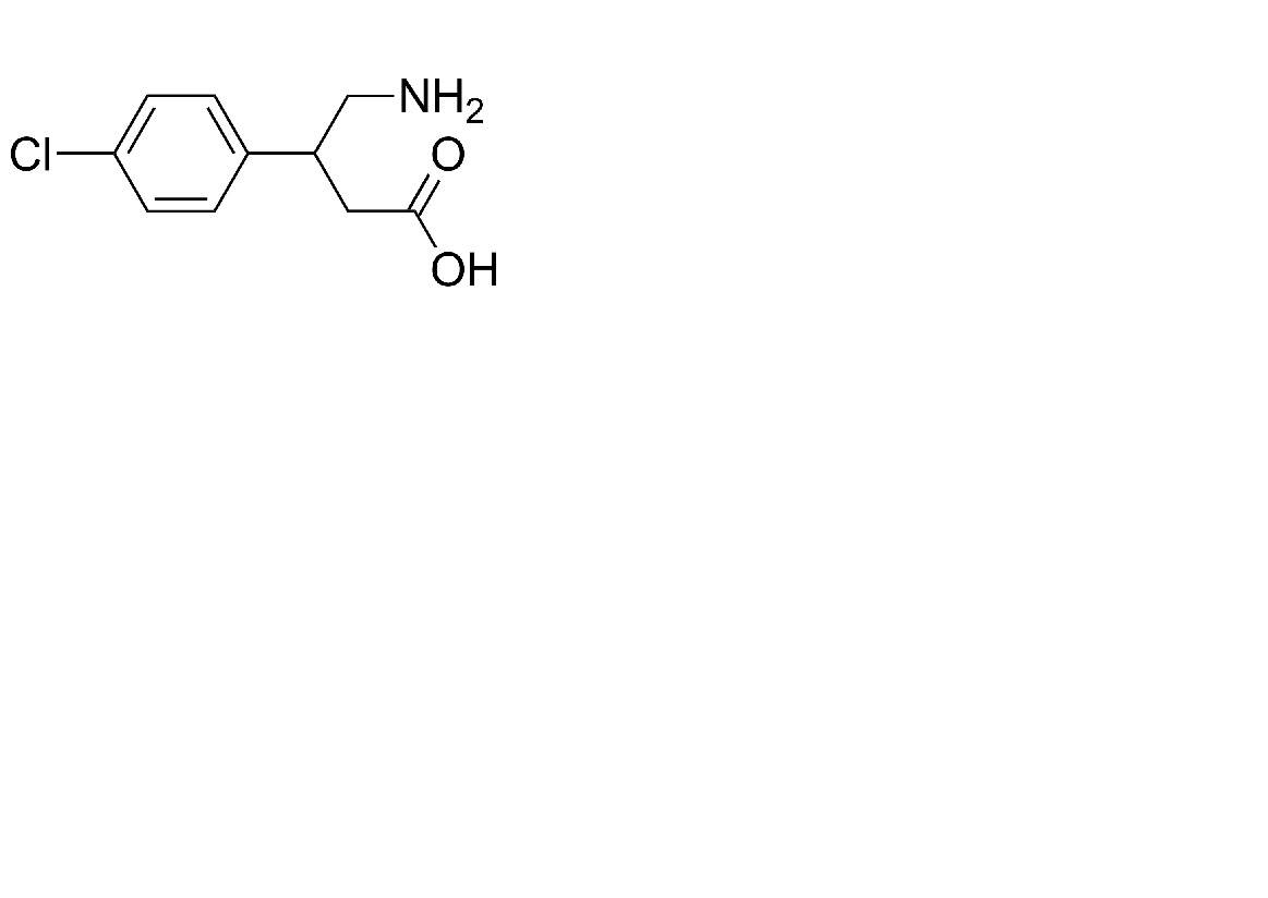
   Cheminė sandara  

Geriamas tirpalas

Stabilumą lemiantys veiksniai   Geriamas tirpalas   Stabilumą lemiantys veiksniai : Baclofen        
Nėra duomenų

  Mentions Légales