Ostatnia aktualizacja :
18/03/2026
Różne   Baclofen  
Roztwór doustny
Injekcje Maści
Stabilność preparatów farmaceutycznych Trwałość w mieszaninie Czynnik wpływający na trwałość Zgodność Bibliografia pdf
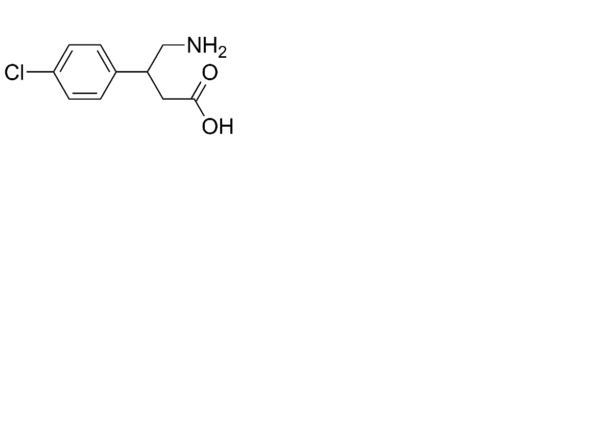
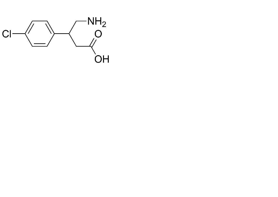
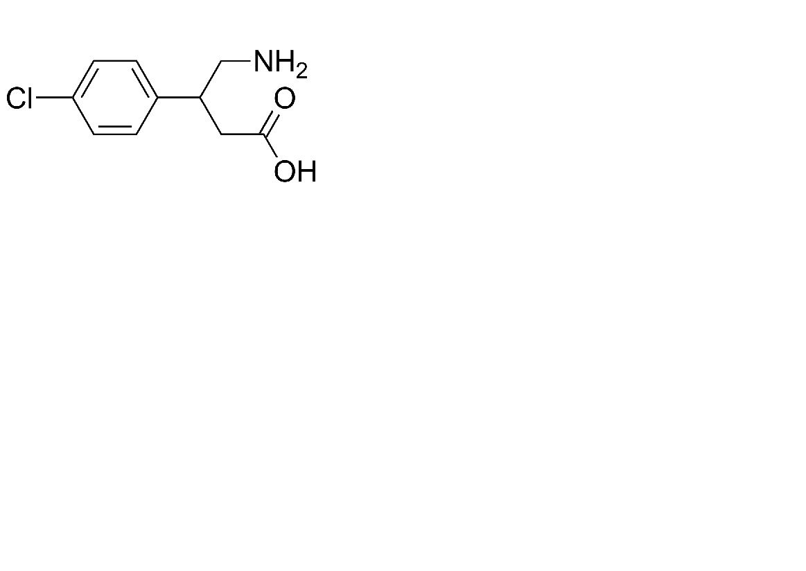
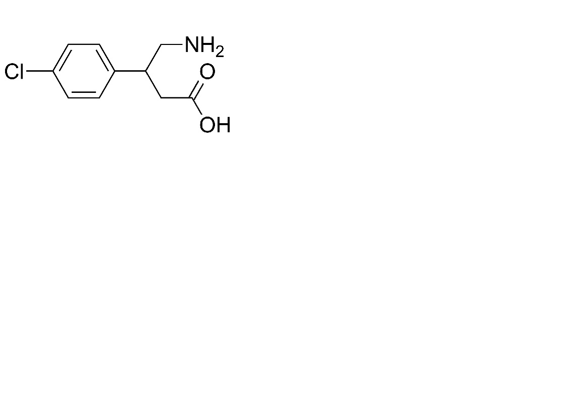
   Struktura chemiczna  

Roztwór doustny

Czynnik wpływający na trwałość   Roztwór doustny   Czynnik wpływający na trwałość : Baclofen        
Brak danych

  Mentions Légales