zadnja posodobitev :
05/12/2025
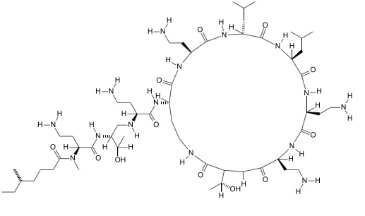
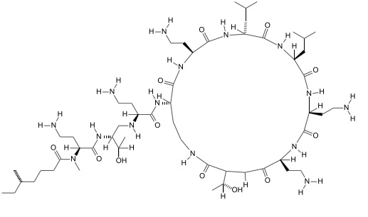
Antibiotik   Colistin mesilate sodium  
Aerosol
Brizgalka
Stabilnost farmacevtskih preparatov Stabilnost mešanice Faktorji, ki vplivajo na stabilnost Kompatibilnost Viri pdf
   Kemična formula  

Aerosol
Stabilnost farmacevtskih preparatov   Aerosol   Stabilnost farmacevtskih preparatov : Colistin mesilate sodium     
Vsebnik Origine Ekscipient Temperatura Shranjevanje Trajanje stabilnosti Viri
Nedoločeno Medicinske steklenica za injiciranje 80 mg
Colistin CF
NaCl 0.9% >> 3 mL
2-8°C Nedoločeno
48 čas
3334

Nedoločeno Medicinske steklenica za injiciranje 80 mg
Colistin CF
NaCl 5,85 % >> 3 mL
2-8°C Nedoločeno
48 čas
3334


  Mentions Légales