Última actualização :
18/03/2026
antibiótico   Colistin mesilate sodium  
aerossol
injetável
Estabilidade de preparações farmacêuticas Estabilidade em misturas Factores que afectam a sua estabilidade Compatibilidade Bibliografía pdf
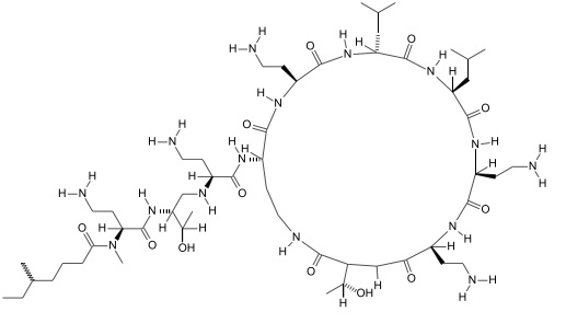
   estrutura química  

aerossol
Estabilidade de preparações farmacêuticas   aerossol   Estabilidade de preparações farmacêuticas : Colistin mesilate sodium     
Embalagem Origine excipiente temperatura conservação Duração da estabilidade Bibliografia
no especificado frasco de medicamento para injeção 80 mg
Colistin CF
NaCl 0.9% >> 3 mL
2-8°C no especificado
48 hora
3334

no especificado frasco de medicamento para injeção 80 mg
Colistin CF
NaCl 5,85 % >> 3 mL
2-8°C no especificado
48 hora
3334


  Mentions Légales