Last update :
18/03/2026
Antibiotic   Colistin mesilate sodium  
aerosol
injection
Stability of pharmaceutical preparations Stability of mixtures Factors which affect stability Compatibility References pdf
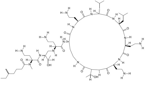
   Chemical structure  

aerosol
Stability of pharmaceutical preparations   aerosol   Stability of pharmaceutical preparations : Colistin mesilate sodium     
Container Origine excipient Temperature Storage Duration of stability References
Not specified Medicine bottle for injection 80 mg
Colistin CF
NaCl 0.9% >> 3 mL
2-8°C Not specified
48 Hour
3334

Not specified Medicine bottle for injection 80 mg
Colistin CF
NaCl 5,85 % >> 3 mL
2-8°C Not specified
48 Hour
3334


  Mentions Légales