Zadnji put ažurirano :
18/03/2026
antibiotik   Colistin mesilate sodium  
aerosol
injekcija
Stabilnost farmaceutskih pripravaka Stabilnost mješavine Stabilizacijski faktor Kompatibilnosti Bibliografija pdf
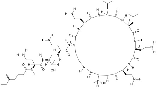
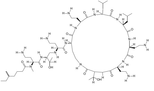
   Kemijska struktura  

aerosol
Stabilnost farmaceutskih pripravaka   aerosol   Stabilnost farmaceutskih pripravaka : Colistin mesilate sodium     
Kontejner Origine pomoćna tvar temperatura Konzerviranje Trajanje stabilnosti Bibliografija
nespecifičan bočica za injekcije 80 mg
Colistin CF
NaCl 0.9% >> 3 mL
2-8°C nespecifičan
48 sat
3334

nespecifičan bočica za injekcije 80 mg
Colistin CF
NaCl 5,85 % >> 3 mL
2-8°C nespecifičan
48 sat
3334


  Mentions Légales