Utolsó frissítés :
18/03/2026
Antibiotikum   Colistin mesilate sodium  
aeroszol
Injekció
Stabilitása gyógyszerészeti készítmények A keverékek stabilitása Stabilitást befolyásoló tényezők Kompatibilitás Irodalom pdf
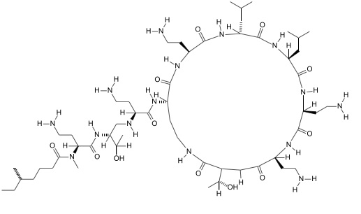
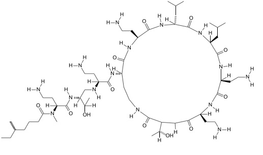
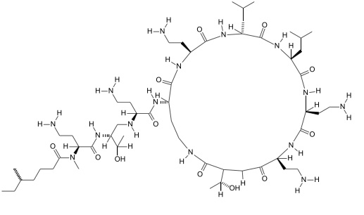
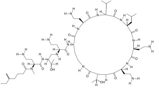
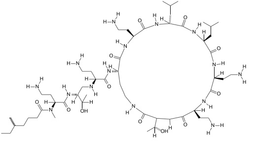
   Kémiai szerkezet   

aeroszol
Stabilitása gyógyszerészeti készítmények   aeroszol   Stabilitása gyógyszerészeti készítmények : Colistin mesilate sodium     
Csomagolás Origine segédanyag Hőmérséklet Tárolás A stabilitás időtartama Irodalom
Nincs meghatározva Injekcióhoz való űveg 80 mg
Colistin CF
NaCl 0.9% >> 3 mL
2-8°C Nincs meghatározva
48 Óra
3334

Nincs meghatározva Injekcióhoz való űveg 80 mg
Colistin CF
NaCl 5,85 % >> 3 mL
2-8°C Nincs meghatározva
48 Óra
3334


  Mentions Légales