Poslední aktualizace :
18/03/2026
Antibiotikas   Colistin mesilate sodium  
Aerozolis
Įpurškimas
Stabilumas farmacinių preparatų Mišinių stabilumas Stabilumą lemiantys veiksniai Suderinamumas Bibliografija pdf
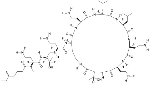
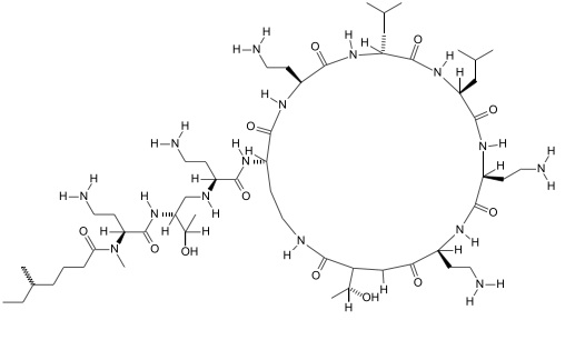
   Cheminė sandara  

Aerozolis
Stabilumas farmacinių preparatų   Aerozolis   Stabilumas farmacinių preparatų : Colistin mesilate sodium     
Pakuotė Origine Ekscipientas Temperatūra Laikymas Stabilumo trukmė Nuorodos
Nenurodyta Vaistų buteliukas injekcijoms 80 mg
Colistin CF
NaCl 0,9 % >> 3 mL
2-8°C Nenurodyta
48 Valanda
3334

Nenurodyta Vaistų buteliukas injekcijoms 80 mg
Colistin CF
NaCl 5,85 % >> 3 mL
2-8°C Nenurodyta
48 Valanda
3334


  Mentions Légales