Τελευταία ενημέρωση :
18/03/2026
Αντιβιοτικό   Colistin mesilate sodium  
Αεροζόλ
Ενέσιμο
Σταθερότητα και συμβατότητα των φαρμάκων Σταθερότητα σε μίγματα Παράγοντας που επηρεάζει τη σταθερότητα Συμβατότητες Βιβλιογραφία pdf
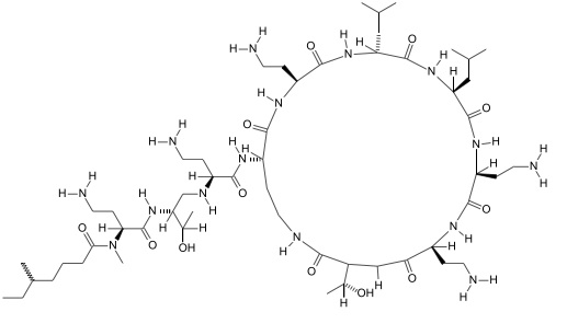
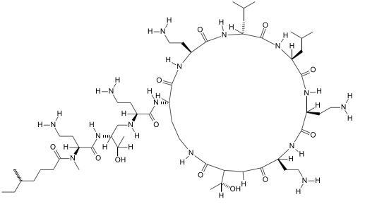
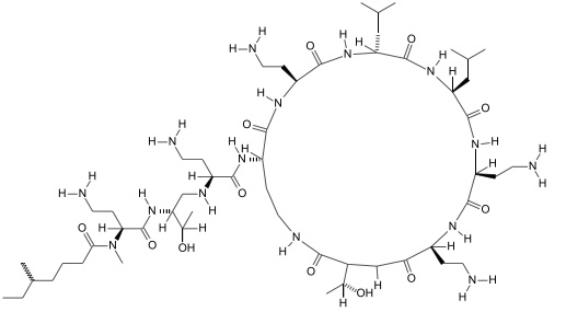
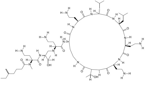
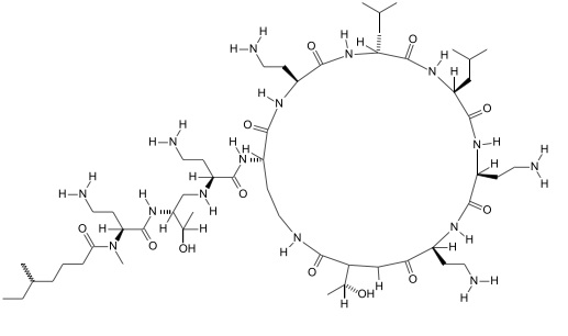
   χημική δομή  

Αεροζόλ
Σταθερότητα και συμβατότητα των φαρμάκων   Αεροζόλ   Σταθερότητα και συμβατότητα των φαρμάκων : Colistin mesilate sodium     
Υποδοχέας Origine Έκδοχο Θερμοκρασία Αποθήκευση Διάρκεια σταθερότητας Βιβλιογραφία
Απροσδιόριστο Φιαλίδιο φαρμάκου για ένεση 80 mg
Colistin CF
NaCl 0.9% >> 3 mL
2-8°C Απροσδιόριστο
48 Ώρα
3334

Απροσδιόριστο Φιαλίδιο φαρμάκου για ένεση 80 mg
Colistin CF
NaCl 5,85 % >> 3 mL
2-8°C Απροσδιόριστο
48 Ώρα
3334


  Mentions Légales