Ultimele actualizari :
18/03/2026
Antibiotic   Colistin mesilate sodium  
Aerosol
Injectabil
Stabilitatea preparatelor farmaceutice Stabilitatea in amestec Factorii care influenteaza stabilitatea Compatibilitate Bibliografie pdf
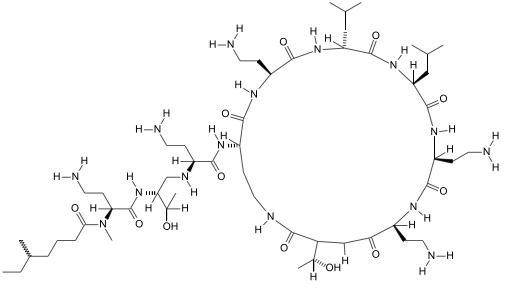
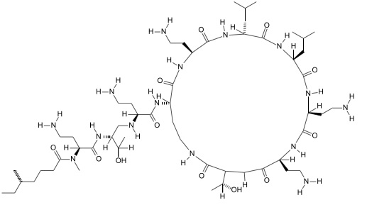
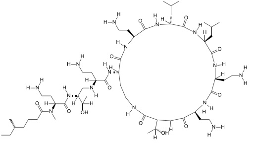
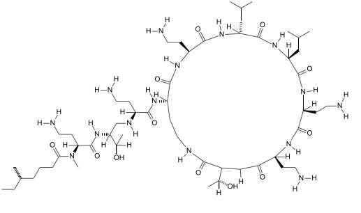
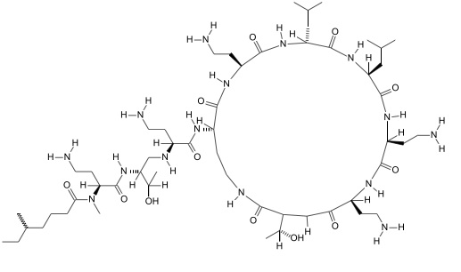
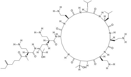
   Formula chimica  

Aerosol
Stabilitatea preparatelor farmaceutice   Aerosol   Stabilitatea preparatelor farmaceutice : Colistin mesilate sodium     
Continut Origine Excipient Temperatura Conservare Durata stabilității Bibiografie
neprecizat Flacon Flacon pentru medicament injectabil pentru injecţie 80 mg
Colistin CF
NaCl 0.9% >> 3 mL
2-8°C Neprecizat
48 Ora
3334

neprecizat Flacon Flacon pentru medicament injectabil pentru injecţie 80 mg
Colistin CF
NaCl 5,85 % >> 3 mL
2-8°C Neprecizat
48 Ora
3334


  Mentions Légales