最新更新 :
05/12/2025
抗生素   Colistin mesilate sodium  
气雾剂
注射液
制剂的稳定性 混合物稳定性 影响稳定性的因素 兼容性 引用文献 PDF
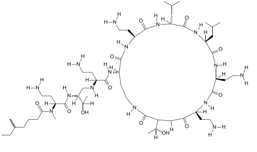
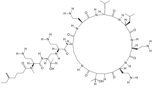
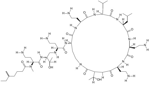
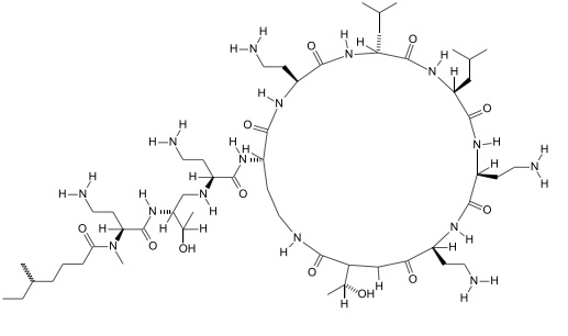
   化学式  

气雾剂
制剂的稳定性   气雾剂   制剂的稳定性 : Colistin mesilate sodium     
容器 Origine 添加剂 温度 保存 穩定持續時間 引用文献
不详 注射用瓶 80 mg
Colistin CF
NaCl 0.9% >> 3 mL
2-8°C 无特殊要求
48 小时
3334

不详 注射用瓶 80 mg
Colistin CF
NaCl 5,85 % >> 3 mL
2-8°C 无特殊要求
48 小时
3334


  Mentions Légales