Последнее обновление :
18/03/2026
Антибиотик   Colistin mesilate sodium  
Аэрозоль
Инъекция
Стабильность фармацевтических препаратов Стабильность смесей Факторы, которые влияют на стабильность Совместимость Библиография pdf
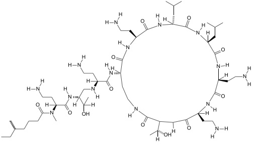
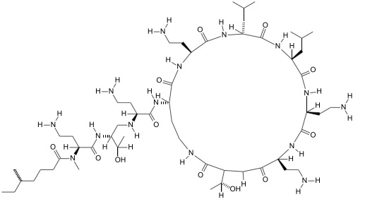
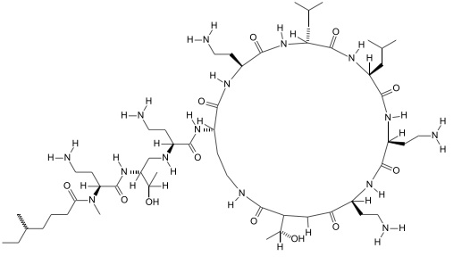
   Химическая структура  

Аэрозоль
Стабильность фармацевтических препаратов   Аэрозоль   Стабильность фармацевтических препаратов : Colistin mesilate sodium     
Упаковка Origine Наполнитель Температура Хранение Продолжительность стабильности Ссылки
Не указано Медицинская бутылка для инъекций 80 mg
Colistin CF
Хлорид натрия 0,9% >> 3 mL
2-8°C Не указано
48 Час
3334

Не указано Медицинская бутылка для инъекций 80 mg
Colistin CF
NaCl 5,85 % >> 3 mL
2-8°C Не указано
48 Час
3334


  Mentions Légales