Останнє оновлення :
03/03/2026
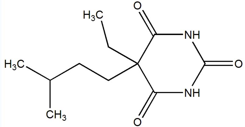
Загальний наркоз   Amobarbital sodium  
ін'єкція
Стійкість в розчинах Стійкість сумішей Фактори, що впливають на стабільність Сумісність Шлях введення Список літератури pdf
   Хімічна структура  

Торгова назва   Торгова назва     

Торгові назви є орієнтовними, а склад допоміжних речовин може бути різним залежно від країни та виробника

Amytal Sodium Сполучені Штати Америки
Список літератури   ін'єкція   Список літератури : Amobarbital sodium  

  Mentions Légales