Son güncelleme :
05/12/2025
Genel anestezik   Amobarbital sodium  
Enjeksiyon
Çözeltilerin stabilitesi Karışımlardaki stabilitesi Stabiliteyi etkileyen faktörler Uyumluluk Uygulama yöntemi Kaynaklar pdf
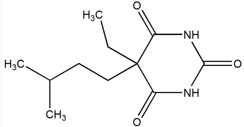
   Kimyasal yapı   

Ticari isim   Ticari isim     

Trade names are indicative and excipients composition can be different depending on the country and manufacturers

Amytal Sodium Amerika Birleşik Devletleri
Kaynaklar   Enjeksiyon    Kaynaklar : Amobarbital sodium  

  Mentions Légales